Liên hệ Công Ty
Mục lục:
1. Thành phần và cấu tạo núm hút chân không
2. Ứng dụng & Vai trò của Núm hút chân không
3. 3 Điều cần biết khi chọn Núm hút chân không
CÔNG TY TNHH TM-KT CÔNG NGHIỆP VIỆT Á là đại lý độc quyền phân phối giải pháp nâng hạ SCHMALZ - Đức tại Việt Nam. Cam kết đội ngũ chuyên gia tư vấn chuyên nghiệp.
Trên thị trường hiện nay NÚM HÚT CHÂN KHÔNG được rao bán tràn lan trên tuy nhiên đâu mới là sản phẩm và thương hiệu mà quý doanh nghiệp có thể đặt trọn niềm tin thì trong bài viết này Việt Á sẽ phân tích và đưa ra giải pháp.
*Tên gọi khác Giác hút chân không, phễu hút chân không trong bài viết này mình sẽ dùng Núm hút chân không
Núm hút chân không được sử dụng rộng rải trong vận chuyển, nâng hạ sản phẩm, thùng carton, tấm kính,... tránh được tác động trực tiếp giảm thiểu khả năng làm bẩn, trầy xước nhờ vào vật liệu nhựa mềm, silicone,...
NÚM HÚT CHÂN KHÔNG - SCHMALZ - Đức được Việt Á đặt niềm tin và chọn phân phối độc quyền tại Việt Nam.
+ Núm hút chân không có thể linh hoạt sử dụng và đáp ứng được nhiều môi trường khác nhau như: nhiệt độ cao, áp suất, điện, ẩm.
+ Cấu tạo bao gồm:
+ Thân được làm bằng thép, nhôm hợp kim được bao xung quanh bởi núm hút.
+ Phần đầu ren để kết nối với thiết bị, tay gắp,...
+ Lò xo để giảm áp lực tác động trực tiếp giữa sản phẩm và thiết bị.
+ Vật liệu cấu tạo núm hút: NBR (Nitrile caoutchouc), Silicone (SI), NK, HT (High temperature), ED (Elastodur), FPM (Fluorcaoutchuc), EPDM (Ethylene propylene caoutchuc) hầu hết với nhu cầu phổ thông thì SI khá phổ biến. Hơn nữa, đáp ứng tiêu chuẩn FDA tại Hoa Kỳ.
+ Núm hút chân không có những đặc điểm phù hợp như chịu nhiệt, phôi lòi lõm, thiết bị linh kiện mạch điện, thép, cách điện,...
+ Dựa vào yêu cầu của bạn mà Việt Á sẽ chọn ra kích thước, vật liệu núm hút phù hợp
+ Vòng đời sản phẩm dài hơn các loại núm hút chân không khác.
Bảng tham khảo khả năng đáp ứng nhu cầu của Núm hút chân không (click vào ảnh để xem rõ hơn)
- Các sản phẩm núm hút cao su của Schmalz chuyên trong lĩnh vực nâng hạ, vận chuyển các sản phẩm trong công nghiệp, dây chuyền sản xuất. Vì vậy, các sản phẩm núm hút cao su Schmalz rất phong phú với đa dạng chủng loại và kích cỡ. Sản phẩm Schmalz hỗ trợ nhiều mảng ngành khác nhau như:
- Loại núm hút chân không cho sản phẩm có bề mặt phẳng như (ngành gỗ, thùng carton, giấy, nhựa,...)
- Loại núm hút chân không cho sản phẩm có bề mặt cong, gồ ghề như (ngành thực phẩm, bao bì, túi nhựa, bo mạch,...)
Nhờ vào khả năng nâng hạ chân không mà chúng ta có thể áp dụng rộng rãi xem thêm chi tiết tại: >>Thiết bị nâng hạ chân không<<
- Kích thước, vật liệu, số lượng núm hút đều có ảnh hưởng đến khả năng và công suất của thiết bị nâng chân không. Nên để chọn loại núm hút phù hợp thì có những lưu ý cần biết sau đây.
Núm hút chân không được dùng để hút và di chuyển sản phẩm, phôi trong dây chuyển hoặc trên robot. Đương nhiên núm hút sẽ không tự nhiên hút và nâng sản phẩm. Mà đó là, núm hút tiếp xúc trực tiếp lên bề mặt sản phẩm nhờ vào máy tạo chân không giúp hút không khí từ trong núm hút ra ngoài tạo nên chênh lệch áp suất ở bên trong núm hút và ngoài môi trường nên tạo ra lực hút
F = Δp x A
F: lực hút chân không
Δp: độ chênh lệch áp suất giữa môi trường và núm hút
A: Diện tích tiếp xúc (núm hút và sản phẩm)
=> Lực hút sẽ tỉ lệ thuận với chênh lệch áp suất và diện tích tiếp xúc
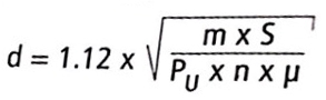
Trong đó:
d: đường kính núm hút chân không
m: khối lượng sản phẩm (phôi)
S: hệ số an toàn (thường là = 2)
PU: Hệ số hút chân không (-0.4)
n: số lượng núm hút chân không
=> Vậy ta sẽ chọn núm hút phù hợp nhất cho trường hợp này là Núm hút PFYN 95 có đường kính d: 95mm
Trong đó:
d: đường kính núm hút chân không
m: khối lượng sản phẩm (phôi)
S: hệ số an toàn (thường là = 2)
PU: Hệ số hút chân không (-0.4)
n: số lượng núm hút chân không
µ: Hệ số ma sát
=> Vậy ta sẽ chọn núm hút phù hợp nhất cho trường hợp góc nghiên 90 này là Núm hút PFYN 150 có đường kính d: 150mm
Đội ngũ chuyên môn tại Việt Á có đủ chuyên môn nghiệp vụ sẽ tư vấn và đưa ra giải pháp nâng hạ cho quý doanh nghiệp
- Vậy với những thương hiệu nước ngoài chưa có chi nhánh tại Việt Nam. Chúng ta nên mua núm hút cao su ở đâu? Trong trường hợp này, khách hàng nên tìm mua sản phẩm tại các đại diện phân phối độc quyền của hãng. Nên lựa chọn nhà phân phối độc quyền vì những lý do sau đây:
CÔNG TY VIỆT Á – ĐẠI DIỆN HÃNG SCHMALZ TẠI VIỆT NAM
- Việt Á tự hào là đại diện của thương hiệu nổi tiếng Schmalz tại Việt Nam. Với hơn 10 năm hoạt động trong lĩnh vực cung cấp các sản phẩm phục vụ công nghiệp. Việt Á không ngừng nỗ lực và hoàn thiện bản thân. Với sứ mệnh mang tới cho Quý khách hàng những sản phẩm với chất lượng dịch vụ hoàn hảo nhất! Sản phẩm núm hút cao su dùng cho thủy tinh là sản phẩm tiêu biểu mà Việt Á đang cung cấp trên thị trường.
- Nếu Quý khách hàng đang cần tư vấn về sản phẩm và đang băn khoăn núm hút cao su mua ở đâu? Hãy liên hệ ngay với Việt Á để được hỗ trợ tư vấn kịp thời nhất. Liên hệ với Việt Á
CÔNG TY TNHH THƯƠNG MẠI - KỸ THUẬT CÔNG NGHIỆP VIỆT Á
Địa chỉ: 84 Trần Trọng Cung, Phường Tân Thuận Đông, Quận 7, TP. Hồ Chí Minh
Hotline: 028.3773.4666
Website: www.shopvieta.com
Email: info@vait.com.vn
✅ CÔNG TY TNHH TM-KT CÔNG NGHIỆP VIỆT Á
Giá chưa bao gồm VAT.





